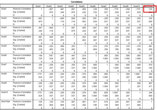
Tes Validitas Siswa 10 Anak Dengan 10 Soal
Jumlah soal sebanyak 15. Dengan demikian akan diketahui tingkat kesukaran soal.
Tutorial Cara Uji Validitas Dengan Spss Validitas Instrumen Uji Statistik
Uji validitas dan reliabilitas maka butir soal-soal yang kurang baik akan direvisi kembali dan soal-soal yang tidak layak akan diganti.

Tes validitas siswa 10 anak dengan 10 soal. Terdapat pengaruh yang positif antara motivasi belajar siswa dengan hasil belajar matematika siswa. Reliabilitas atau konsistensi pengukuran dibutuhkan untuk memperoleh hasil yang valid tetapi reliabilitas dapat diperoleh tanpa harus valid Nurgiyantoro 2010150. Sementara kawan yang terpandai hanya 1 butir soal yang salah dan anak yang terbodoh di kelas itu hanya mampu mengerjakan 5 butir soal dengan benar.
Kualitas tes dan butir soal sangat ditentukan oleh. Kesulitan-kesulitan siswa dalam menjawab soal-soal PISA tersebut sebagai berikut. Siswa dengan kemampuan berpikir tingkat tinggi tidak hanya membutuhkan kemampuan.
Anak untuk menyesuaikan diri dengan baik dalam situasi yang dihadapi anak. Dari 25 soal ulangan umum untuk mata pelajaran bahasa Indonesia Ali mengerjakan 17 butir soal dengan benar. Mengelompokkan siswa sesuai dengan kondisi serta latar belakang yang sama.
Dari 25 soal ulangan umum untuk mata pelajaran bahasa Indonesia Ali mengerjakan 17 butir soal dengan benar. Jan 13 2013 Khusus pada THB ada dua bentuk soal yakni. Mengadakan identifikasi soal-soal yang baik kurang baik dan soal yang jelek.
Butir Soal r Hitung r Tabel Keterangan Q1 0685 0444 Valid Q2 0651 0444 Valid Q3 0598 0444 Valid Q4 0685 0444 Valid Q5 0741 0444 Valid Q6 0772 0444 Valid Q7 0821 0444 Valid Q8 0840 0444. Guru menganggap mereka anak-anak yang bodoh dan malas belajar. Namun dipahami siswa dengan susunan yang sama sehingga dalam.
Menampilkan sikap yang wajar terhadap perbedaan-perbedaa pemikiransikap dan. Susunan tower 1 dan 2 berbeda. Dalam survey terhadap 50 oarang siswa SMP didapat data.
Setelah valid secara logis maka dilihat valid empirisnya yaitu validitas butir soal reliabilitas soal tingkat kesukaran soal dan daya pembeda. Rumus validitas item tes menurut Anas Sudjono 1998. Setelah diperiksa hasilnya diurutkan sbb.
1332015 Validitas dan Reliabilitas Tes Hasil Belajar Contoh makalah 23rd October 2012 Validitas dan Reliabilitas Tes Hasil Belajar BAB I PENDAHULUAN 11 Latar Belakang Perkembangan konsep penilaian pendidikan yang ada pada saat ini menunjukkan arah yang lebih luas. Tes hasil belajar menggunakan soal-soal yang diberikan sesuai dengan kurikulum yang berjalan. Apr 01 2016 saat ini telah banyak dikembangkan tes uraian dalam pembelajaran matematika.
Sementara kawan yang terpandai hanya 1 butir soal yang salah dan anak yang terbodoh di kelas itu hanya mampu mengerjakan 5 butir soal dengan benar. Salah satu alasannya karena tes uraian dapat digunakan untuk menggukur hasil belajar siswa yang mencakup aspek kognitif afektif dan psikomotorik. Validitas berhubungan erat dengan reliabilitas.
Validitas dan reliabilitas soal tengah semester genap kaitannya dengan ketercapaian tujuan pembelajaran bahasa indonesia kelas viii a smp negeri 2. Jika seorang siswa diambil secara acak dari 50 anak maka peluang mendapatkan siswa yang senang fisika. N1 28 01n1 4 n1 40 Jadi banyaknya anak sebelum digabung dengan empat anak dari klas lain adalah 40 orang 10.
X 2 n1 n1 n1 59 47 n1 4 6n1 59. Siswa Skor Peringkat 1 12 1 2 11 25 3 11 25 4 10 4 Siswa kategori tinggi 27 dari 28 5 9 5 8 orang 6 8 75 7 8 75 8 8 75 9 8 75. Menyusun butir soal tes harus sesuai dengan indikator-indikator kemampuan berpikir tingkat.
Untuk menjamin kualitas dari suatu instrumen soal tes uraian perlu dilakukan pengujian tingkat reliabilitas validitas tingkat kesukaran dan. Kesulitan di dalam memahami soal Soal nomor 2 tentang tinggi tower dari 3 tower yang diketahui yang dibentuk dari bangunan berbentuk persegi panjang dan segi enam. Validitas butir soal dan lembar validitas soal tes ahli materi.
Uji Butir Soal Validitas Soal Tes Pilihan Ganda dan Tes Uraian Essai. Jan 13 2014 Jawaban. Kesimpulan Dari uji validitas pada soal pilihan ganda tersebut dengan jumlah siswa 20 orang dan dengan jumlah soal 10 butir dinyatakan valid.
Tes bentuk uraian dan tes bentuk pilihan ganda dulu lebih dikenal dengan nama tes obyektif3 Evaluasi Pembelajaran 4. X 1 59 x 2 7 x 6 x 6 n2 4 n1. Lembar validitas akan diberikan ke para ahli ketika produk telah jadi dan butuh divalidkan sebelum diuji ke siswa-siswa.
Mempertemukan wali murid dengan si anak serta memberi kesempatan untuk mendiskusikab prestasi belajar yang. Penggunaan nama tes obyektif kini diganti dengan nama Tes Pilihan Ganda Tes sebagai alat seleksi maupun evaluasi diharapkan menghasilkan nilai atau skor yang obyektif dan akurat. Dengan persamaan regresi Yabx2965 0605x.
Jika validitas berkaitan dengan kelayakan penafsiran hasil tes maka reliabilitas berkaitan dengan konsistensi hasil pengujian tes. Sesuai dengan karakteristik tes dalam bentuk uraianmampu mengukur proses berpikir tinggi maka unjuk kerja siswa yang paling tepat diukur dengan tes uraian adalah. Dari 50 orang siswa diambil sampel secara acak 15 orang untuk diukur tinggi badannya diperoleh data sebagai berikut.
Tes pilihan ganda dengan option empat diberikan kepada 28 siswa kelas II SMA. Dengan analisis soal dapat diperoleh informasi tentang kejelekan sebuah soal dan petunjuk untuk mengadakan perbaikan dalam pembelajaran. 35 siswa senang matematika diantaranya 12 orang senang fisika sedangkan siswa yang tidak senang keduanya ada 10 orang.
Validitas Item Tes Pilian Ganda 1.
Menganalisis Hasil Tes Entri Sulistari 1 Menilai Tes
Menganalisis Hasil Tes Entri Sulistari 1 Menilai Tes
Contoh Soal Ujian Ut Pgsd Pdgk4301 Evaluasi Pembelajaran
Http Eprints Umpo Ac Id 1795 8 Lampiran Pdf
Contoh Soal Yang Valid Kumpulan Soal Pelajaran 6
Arya Mengikuti Suatu Tes Dengan Jumlah Soal Yang Tersedia Sebanyak 10 Butir Jika Ia Hanya Brainly Co Id
Contoh Soal Yang Valid Kumpulan Soal Pelajaran 6
Menganalisis Hasil Tes Entri Sulistari 1 Menilai Tes
Ayya Shop Sistem Evaluasi Pai Valisitas Reabilitas
Menganalisis Hasil Tes Entri Sulistari 1 Menilai Tes
Contoh Soal Validitas Butir Soal Soal Soal
Menganalisis Hasil Tes Entri Sulistari 1 Menilai Tes
Menganalisis Hasil Tes Entri Sulistari 1 Menilai Tes
Menganalisis Hasil Tes Entri Sulistari 1 Menilai Tes
Menganalisis Hasil Tes Entri Sulistari 1 Menilai Tes
Instrumen Dan Uji Syarat Instrumen
Contoh Soal Yang Valid Kumpulan Soal Pelajaran 6
Contoh Soal Yang Valid Kumpulan Soal Pelajaran 6
Contoh Soal Yang Valid Kumpulan Soal Pelajaran 6
Posting Komentar untuk "Tes Validitas Siswa 10 Anak Dengan 10 Soal"